With the development of society, people know more about the time value of money and apply it to work and life. Of course, there are still many people who don’t understand this. Therefore, in many business financial situations, many people cannot decide which is the best option.
For example, if there are two offers that are the same in all conditions, but the method of payment is different, the first offer is 30% deposit and 70% after 5 months, the second offer is 40% deposit and 60% after 7 months. We want to know what is the offer with less total value of the paid amount.
Another example, an insurance company offers us two offers, the first is to pay an amount monthly and get a million dollars back after 10 years, and the other offer is to pay the same amount and get two million dollars after 16 years. We want to know which of the two offers is better.
In order to answer this question and make the right decisions related to personal and business finance, we must be aware of the time value of money.
الكثير منا لا يستطيع تحديد ما هو الأفضل فى العديد من المواقف على سبيل المثال
لو أن هناك عرضين سعر متماثلين فى كل الظروف لكن طريقة الدفع مختلفة العرض الأول 30% مقدم و70% بعد 5 شهور والعرض الثانى 40% مقدم و60% بعد 7 شهور ونريد معرفة ماهو العرض الذى يكون اجمالى قيمة المبلغ المدفوع فيه أقل
– شركة تأمين تعرض علينا عرضين الأول دفع مبلغ ما شهريا واسترداد مبلغ مليون جنيه بعد 10 سنوات والعرض الأخر دفع نفس المبلغ والحصول على 2 مليون دولار بعد 16 سنة ونريد معرفة أى العرضين أفضل
وللاجابة على ذلك واتخاذ القرارات الصحيحة المتعلقة بالتمويل الشخصي والتجاري يجب ان نكون ملمين بالقيمة الزمنية للنقود
Definition of Time Value of Money
This is a financial concept, because it describes the value of a dollar received today as being more valuable than the value of receiving the same dollar in the future.
تعريف القيمة الزمنية للنقود
هو مفهوم مالى يعنى أن قيمة المال المستلم اليوم أكثر قيمة من قيمة تلقى نفس المال فى المستقبل
The concept of Time Value of Money and how it works
Assuming someone offers you two ways to pay for some of the work you do
- First: Get $1,000 now
- Second: Get the amount of 1120 dollars after a year
Which of the two methods would you choose?
We find that the interest rate set by the bidder is 12% in the above offers, so how to determine which is better for you?
Currently, if you have other business that can earn more than 12% interest for you, it is better to receive the amount now, but if you have no other business to invest in or your own interest will be less than 12%, it is better to receive the amount after a year.
مفهوم القيمة الزمنية للنقود
بافتراض ان هناك شخص ما يعرض عليك طريقتين دفع مقابل بعض الأعمال التى تؤديها
الأولى : الحصول على مبلغ 1000 دولار الآن
الثانية : الحصول على مبلغ 1120 دولار بعد سنة
أى الطريقتين ستختار؟
ولتحديد أيهما أفضل بالنسبة لك فاننا نجد أن نسبة الفائدة التى حددها مقدم العرض هى 12 % سنويا
فاذا كان لديك عمل اخر يمكن ان يحقق لك فائدة أعلى من 12% فالأفضل استلام المبلغ الان وان لم يكن لديك عمل أخر يمكن الاستثمار فيه او لديك ولكن سيحقق فائدة اقل من 12% فالأفضل هو استلام المبلغ بعد عام
The importance of Time Value of Money
TVM is important because it is a guide to the investment decision, so that the investor can choose the worth project for investment.
أهمية القيمة الزمنية للنقود
هو دليل مهم فى قرار الاستثمار وبناء عليه يستطيع المستثمر تحديد أى المشاريع تستحق الاستثمار
Time Value of Money variables
The variables of TVM calculations are
- (PV) : Present value of money
- (FV) : Future value of money
- (n) : The number of compounding periods of interest per year
- (i) : Interest rate
- (A) : Payment amount
متغيرات القيمة الزمنية للنقود
المتغيرات الخاصة بحسابات القيمة الزمنية للنقود هى
القيمة الحالية (PV)
القيمة المستقبلية (FV(
عدد الفترات (n)
نسبة الفائدة (i)
قيمة القسط (A)
Time Value of Money formulas
There are three formulas as below:
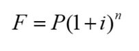
- This formula shows the formulation between the present and the future value directly. For instance, investment certificates, an amount (P) is deposited once at interest rate (i) and received including profits (F) after a specified period (n).
- Below chart mentioned when depositing $10,000 for 10 years at 8% interest, $21,589 will be received.
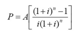
- These formulas 2 and 3 are used in the case of periodic payments or installments such as loans and installment purchase.
- Below chart mentioned when getting a loan of $6,710 (P) at 8% interest (i) and asking for repayment over 10 years (n), it will require a repayment of $1,000 (A) for 10 years
Examples
Here are some examples of situations that we need at work as well as in personal life.
أمثلة
أمثلة لبعض المواقف التي نحتاجها في العمل وكذلك في الحياة الشخصية
Example No. 1
Suppose that you have 3 identical price offers in all cases, with a total amount of $350,000, but the payment method is as follows
1- 30% down payment and the rest after 3 months
2- 40% down payment and the rest after 5 months
3- 50% down payment and the rest after 6 months
Which offers would you choose?
لديك 3 عروض اسعار متماثلة فى جميع الظروف عدا طريقة الدفع فهى مختلفة كالتالى
مقدم 30% والباقى بعد 3 شهور
مقدم 40% والباقى بعد 5 شهور
مقدم 50% والباقى بعد 6 شهور
أى العروض ستختار
As the total value of the second offer is the lowest, so it is the best offer.
Example No. 2
If you want to buy a car for $100,000, a down payment of $40,000 and a quarterly installment of $3,000 can be paid. Moreover, you need to make sure that the seller calculates the correct installment amount based on the 9% interest rate.
تريد شراء سيارة بمبلغ 100000 دولار ويمكن دفع مقدم 40000 دولار وقسط ربع سنوى 3000 دولار وتريد التأكد من أن عدد الأقساط التى تم حسابها من قبل البائع صحيحة وفقا لسعر الفائدة 9 فى المائة
The total number of installments is 27
Example No. 3
Assuming that the insurance company offers you to pay $500 a month for 10 years and you will get $100,000, or pay the same amount a month for 16 years and you will get $200,000. Which of the two offers would you choose?
تعرض عليك شركة التأمين دفع مبلغ 500 دولار شهريا لمدة 10 سنوات واستلام مبلغ 100000 دولار أو دفع نفس المبلغ لمدة 16 سنة واستلام مبلغ 200000 …. أى العرضين ستختار ؟
Since the interest rate on the first offer is higher, so we must choose it.
Importance of Time Value of Money
The importance of the time value of money is evident in the rise in prices due to inflation, as the goods that can be purchased now at $1,000 will increase in price, and it will require saving more than $1,000 to buy the same goods that were purchased before
أهمية القيمة الزمنية للنقود
تتضح أهمية القيمة الزمنية للنقود فى ارتفاع الأسعار بسبب التضخم حيث أن السلع التى يمكن شراؤها الان بمبلغ 1000 دولار سيزيد سعرها وسيتطلب توفير مبلغ اكثر من 1000 دولار لشراء نفس السلع التى تم شراؤها من قبل.
Conclusion
We must always remember that the money we have today is more valuable than the same amount a year later. Also, we should plan our finance well so that we can estimate the damage that inflation can cause to the purchasing power of assets.
الخلاصة
علينا أن نتذكر دائما أن الأموال الموجودة فى يدينا اليوم أكثر قيمة من نفس المبلغ بعد عام وانه يجب التخطيط للأموال بشكل جيد حتى نستطيع تقدير الضرر الذى يمكن أن يسببه التضخم للقوة الشرائية للأصول.
